LD乐动体育LD乐动体育LD乐动体育然而即便是常见的高温超导材料仍要接近液氮温度才能够实现,使得超导材料距离人们生活中大规模应用仍然存有相当的距离。而近日在美国物理学会春季会议,罗彻斯特大学的兰加·迪亚斯团队宣布

相比于之前的氢化物超导,此次氮掺杂镥氢化物超导存在两个惊人的发现:一是该超导材料的临界超导温度达到了21度,二是压力仅需要1万个标准大气压(1Gpa)。这与之前动辄上百Gpa压力的极端高温超导条件天差地别,具有极高的应用潜力。
如此震惊世界的发现,作者在进行超导判定时也非常谨慎,分别从电、磁、热三个维度进行了超导转变实验验证。氮掺杂镥氢化物随着压力的增加,会发生两次明显的可视相变,起初样品无超导性,呈现蓝色(I相)。随着压力增加到3kbar,样品进入超导相(II相),颜色也转变为粉红色。进一步提升到32kbar以上,样品再次进入一个无超导金属相(III相),样品颜色此时也转变为鲜艳红色。

对不同压力下的超导相进行电输运测量,零外场条件下,温度依赖的电输运测量表明,随温度下降,电阻会存在一个陡然下降至零的行为,超导转变宽度与转变温度的比值ΔT
V-I特性曲线在超导转变温度上下明显不同:超导转变温度之上,材料具有线性V-I响应,符合欧姆定律;超导转变温度之下,电压几乎不可测量,并具有非线性响应。图3. 镥-氮-氢体系温度依赖的电输运测量和V-I特性曲线

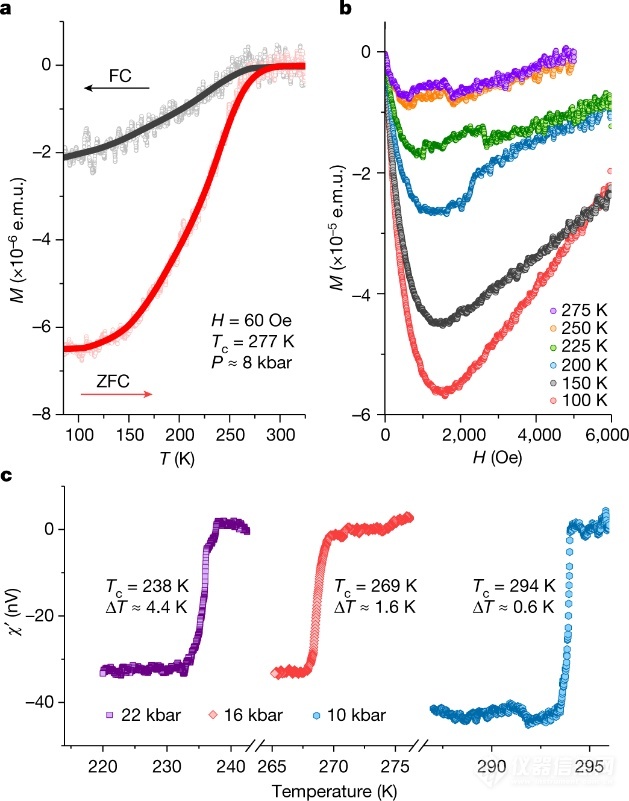
对于超导转变判定,除零电阻行为外,更为关键的是迈斯纳现象的发现。本文磁学测量方面,温度依赖的磁化强度曲线和M-H曲线基于Quantum Design PPMS系统
完成,并搭配了相应的磁测量高压包选件。在8kbar压强下,场冷、零场冷条件下磁化强度的测量表明了一个清晰明确的迈斯纳现象的存在,确定超导转变为277K。宽超导可能源于高压包不同压力梯度或者材料的不均匀性。磁测量获得的超导转变与电阻测量结果相吻合。除直流磁化率外,交流磁化率也明显观测到超导转变带来的抗磁性。

而热输运方面,比热测量同样是验证超导转变的重要途径,根据BCS理论,超导转变伴随有能带打开能隙,会导致比热激增。本文采用了新型交流量热技术,获得了不同压力下,材料比热随温度的演变关系,可以看出,比热具有明显的不连续特征,由此获得的超导转变温度也与电、磁测量相吻合。

本文通过电、磁、热三个维度的实验验证了镥-氮-氢体系在1GPa下接近室温的超导电性,但关于其内容见解,各路大神众说纷纭。此篇文章中,使用了PPMS磁测量高压腔组件,能够实现1.3GPa压力下的等静压磁学测量
告别传统离子源——记优秀新品FIB:ZERO新一代高精度极低温铯离子源FIB系统
微区原位表征多面手!3D/2D表面形貌、力学、电学、磁学等表征均可实现,换样仅需几分钟!
高通量、自动化单细胞力谱测定!多功能单细胞显微操作全新技术助力单细胞力学研究
混合钙钛矿柔性薄膜检测器,实现5MeV质子束监控,小型台式无掩膜直写光刻系统至关重要!
新品上市!这台X射线单晶定向仪,典型测试时间仅为60s,还可提供台式便携式两种设备
厘米级石墨烯快速表征!实现从科研级到工业级的大面积石墨烯及二维材料的高分辨无损测量乐动体育乐动体育